

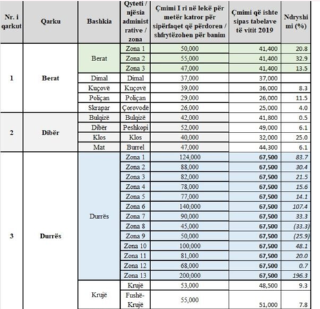
Në Durrës, zona kadastrale nr. 13 është identifikuar si një nga zonat më të shtrenjta, ku çmimi i propozuar për metër katror arrin në 200 mijë lekë (rreth 2 mijë euro). Kjo zonë ndodhet pranë portit të Durrësit dhe është pjesë e projektit të ri “Durrës Yacht Marina”, ku po ndërtohen ndërtesa rezidenciale luksoze.
Tirana dhe Durrësi, çmimet më të larta të referencës për pasuritë e paluajtshme
Në Tiranë, zona kadastrale nr. 2/1, që përfshin zonën pranë Piramidës dhe stadiumit “Air Albania”, ka arritur një rritje të çmimeve të referencës prej 8% në vitin 2023, duke shkuar në 202,4 mijë lekë për metër katror. Ndërkohë, zona më e shtrenjtë e kryeqytetit vazhdon të mbetet ish Blloku (zona nr. 5/1) me çmim referencë 228 mijë lekë për metër katror, që ka njohur një rritje të ndjeshme prej 20% krahasuar me vitin 2018.
Përveç Durrësit dhe Tiranës, çmimet e referencës janë rritur ndjeshëm edhe në zonat bregdetare të Shqipërisë, duke përfshirë Gjirin e Lalëzit dhe ishullin e Sazanit. Në këto zona, çmimi i propozuar është 160 mijë lekë për metër katror për Lalëzin dhe 200 mijë lekë për Sazanin. Rritja më e madhe e çmimeve është regjistruar në Sazan, me një rritje prej 223% krahasuar me çmimin e mëparshëm të Vlorës.
Zonat bregdetare dhe ndikimi i turizmit në çmimet e pasurive të paluajtshme
Bregdeti i Durrësit dhe zona të tjera bregdetare, si ai i Lalëzit dhe Sazani, vazhdojnë të jenë shumë atraktive për investimet në pasuri të paluajtshme, ku zhvillimi i projekteve të mëdha dhe përfshirja e turizmit janë faktorë të rëndësishëm që ndikojnë në rritjen e çmimeve.
Në Sarandë dhe Vlorë gjithashtu janë propozuar çmime të larta të referencës për pasuritë e paluajtshme. Në Sarandë, çmimet janë ndarë në 5 zona kadastrale, me çmime që arrijnë deri në 100 mijë lekë për metër katror, ndërsa në Konispol është regjistruar një rritje të konsiderueshme prej 103,6%, duke arritur në 57 mijë lekë për metër katror.
Shpjegimi i Ministrisë së Financave mbi ndarjen e zonave dhe çmimet e referencës
Ministria e Financave ka argumentuar se ndarja e zonave dhe përcaktimi i çmimeve të referencës janë bazuar në analizën e të dhënave kadastrale dhe faktorëve të ndryshëm si afërsia me qendrën e qytetit, projektet zhvillimore dhe investimet, afërsia me rrugët kryesore dhe atraksionet historike, si dhe ndikimi i turizmit dhe zhvillimit të zonave bregdetare.
Për këtë qëllim, janë grumbulluar të dhënat kadastrale nga periudha 2022-2024 dhe janë llogaritur çmimet mesatare të metrit katror për çdo kontratë shitblerjeje. Të dhënat janë mbledhur nga Agjencia Shtetërore e Kadastrës, duke përdorur hartat digjitale dhe analizat e çmimeve për secilën zonë.
Konkluzione dhe pasojat për tregun imobiliar
Rritja e çmimeve të pasurive të paluajtshme në Durrës, Tirana dhe zonat bregdetare të Shqipërisë tregon një tendencë të vazhdueshme të zhvillimit të tregut imobiliar, veçanërisht në sektorin e ndërtimeve të reja dhe apartamenteve luksoze. Të dhënat tregojnë se çmimet e pasurive të paluajtshme në këto zona vazhdojnë të mbeten tërheqëse për investitorët dhe zhvilluesit, ndonëse me një rritje të ndjeshme të çmimeve për metër katror.

Shënim: Disa imazhe gjenden nga interneti, që konsiderohen të jenë në domenin publik. Nëse dikush pretendon pronësinë, ne do të citojmë autorin, ose, sipas kërkesës, do të heqim menjëherë imazhin.
Bashkohu me kanalin e NOA WhatsApp për lajmet më të fundit direkt në celularin tënd






